高中数学特别篇:函数值域的常见求法讲解
#护苗有我2024#
函数的最大(小)值
1、函数最大值的定义
对于函数
其定义域为
如果存在
使得对于任意的
都有
那么,我们称
是函数
的最大值,即当
时,
是已知条件给出的函数
的最大值,那么我们就可以记作
2、函数最小值的定义
对于函数
其定义域为
如果存在
使得对于任意的
都有
那么,我们称
是函数
的最小值,即当
时,
是已知条件给出的函数
的最小值,那么我们就可以记作

3、函数最值的几何意义
函数最大值对应图象中的最高点,最小值对应图象中的最低点,它们不一定只有一个.
注意:并非所有函数都有最值,有些只有最大值,有些只有最小值,有些没有最大值也没有最小会.
4、函数最值在函数中的地位
函数最值(最大值和最小值)在函数研究中占据至关重要的地位,它不仅是数学分析中的一个核心概念,也是许多实际应用问题的基础。

①数学理论的基础
函数的单调性、凹凸性等性质,往往与函数的最值紧密相关。
微分学中的极值定理(Fermat定理、罗尔定理、拉格朗日中值定理等)提供了寻找函数最值的理论支持。
在实数范围内连续的函数,在闭区间上必然存在最大值和最小值,这是实数完备性的一种体现。

②优化问题的核心
在实际生活中,很多问题都可以转化为求函数的最值问题。例如,生产规划中的成本最小化、利润最大化,工程设计中的材料最优分配,金融投资中的风险与收益平衡等。
线性规划、非线性规划、动态规划等优化方法,都是基于函数最值理论发展起来的。

③科学研究和工程设计
在物理学、化学、生物学等自然科学中,函数最值常用于描述系统的平衡状态、稳定点或临界点。
在工程设计中,函数最值用于确定最优设计方案,如结构的最优形状、材料的最优组合等。
④经济学和金融学
在经济学中,函数最值用于分析生产、消费、投资等经济活动的最优决策。
在金融学中,函数最值用于评估投资组合的风险和收益,以及制定最优的投资策略。
⑤计算机算法和数据处理
在计算机算法中,函数最值问题常常作为优化问题出现,如寻找最短路径、最优解等。
在数据处理中,函数最值用于数据拟合、模式识别等任务,以提取数据中的关键信息。

⑥教育学和心理学
在教育评估中,函数最值用于确定最优的教学方法和学习策略。
在心理学中,函数最值用于分析人的心理反应和行为模式,如情绪调节、决策制定等。

求函数值域的常用方法
此点说明,求函数的值域方法很多,这里只是进行举例说明,并没有说全或说根本说不完,所以同学们在这里要多学会总结,为后期的函数学习打下良好的基础.
1、单调性法
如果一个函数为单调函数,则由定义域结合单调性可快速求出函数的最值(值域).
①若函数
在区间
上单调递增,则
②若函数
在区间
上单调递减,则
③若函数
有多个单调区间,那就先求出各区间上的最值,再从各区间的最值中决定出最大(小)值.函数的最大(小)值是整个值域范围内的最大(小)值.

2、图象法
作出函数的图象,通过观察曲线所覆盖函数值的区域确定值域,以下函数常会考虑进行数形结合.
①分段函数:尽管分段函数可以通过求出每段解析式的范围再取并集的方式解得值域,但对于一些便于作图的分段函数,数形结合也可很方便的计算值域.
②
的函数值为多个函数中函数值的最大值或最小值,此时需将多个函数作于同一坐标系中,然后确定靠下(或靠上)的部分为该
函数的图象,从而利用图象求得函数的值域.

3、配方法
主要用于二次函数或可化为二次函数的函数,要特别注意自变量的取值范围.

4、换元法
换元法是将函数解析式中关于
的部分表达式视为一个整体,并用新元
代替,将解析式化归为熟悉的函数,进而解出最值(值域).
①在换元的过程中,因为最后是要用新元解决值域,所以一旦换元,后面紧跟新元的取值范围.
②换元的作用有两个:
ⅰ.通过换元可将函数解析式简化,例如当解析式中含有根式时,通过将根式视为一个整体,换元后即可“消灭”根式,达到简化解析式的目的;
ⅱ.可将不熟悉的函数转化为会求值域的函数进行处理.

特别说明:换元思想在高中数学中的重要性.
换元思想在高中数学中具有重要的地位,它不仅是解决数学问题的有效策略,而且是培养学生逻辑思维和数学素养的重要手段。
①简化复杂问题
换元思想可以将一个复杂的数学表达式或方程转化为一个更简单、更易于处理的形式。通过引入新的变量(即“元”),可以将原问题中的复杂部分替换掉,使得整个问题变得更加直观和易于解决。

②提高解题效率
在解决一些特定的数学问题(如方程、不等式、函数等)时,直接求解可能非常复杂或困难。此时,运用换元思想可以简化计算步骤,提高解题效率。通过换元,可以将问题转化为已知类型的问题,从而利用已有的知识快速求解。

③培养逻辑思维
换元思想需要学生先对原问题进行分析,确定哪些部分可以通过换元来简化,然后引入新的变量进行替换,最后再进行求解。这个过程培养了学生的逻辑思维能力和分析问题的能力。

④促进知识迁移
换元思想不仅适用于某个特定的数学问题,而且可以迁移到其他相关领域。例如,在物理、化学等学科中,也经常需要运用换元思想来简化复杂的问题。通过在高中数学中培养换元思想,学生可以更好地理解和应用其他学科中的类似方法。

⑤提升数学素养
数学素养是指个体运用数学知识和技能解决问题的能力。换元思想作为数学中的一种重要思想方法,能够帮助学生更好地理解和运用数学知识,提升他们的数学素养。通过学习和运用换元思想,学生可以更加深入地理解数学的本质和规律,从而在数学学习中取得更好的成绩。

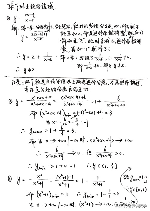
5、分离常数法
主要用于含有一次的分式型函数,形如
或
或者
等的函数.解题步骤如下:
第一步,分子有什么,分子照写,再进行
的系数调整(注意:不能再引入最高次,若引入,分离是不完整的),最后再进行系数的调整.
第二步,若出现
(那么不能等于零就行了);若出现
(那么借用二次函数知识求值域);若出现
(那么借助均值不等式求值域).
考虑到可以表述得不清楚,下面举例对以上涉及的函数进行说明:如下图


6、判别式法
主要用于分式型函数中分子含有二次函数或分母含有二次函数或分子分母都含有二次函数的函数模型,形如:
将函数式化成关于
的方程,且方程有解,用根的判别式求出参数
的取值范围,即得函数的值域。应用判别式法时必须考虑原函数的定义域,并且注意变形过程中的等价性。
另外,此种形式还可使用分离常数法解法。
下面举例加以说明:如下图

函数中的值域在高考中的价值取向
1、考察数学基础知识和能力
函数的值域是函数的基本属性之一,求函数的值域涉及到对函数性质的理解,如函数的单调性、奇偶性、周期性等。高考中通过考察函数的值域,可以检验考生对数学基础知识的掌握程度和解题能力。

2、培养逻辑思维和解题技巧
求解函数的值域需要运用多种数学方法和技巧,如单调性法、换元法、分离常数法、图像法等。这些方法和技巧的运用需要考生具备较强的逻辑思维能力和解题技巧。通过练习求解函数的值域,可以培养考生的逻辑思维能力和解题技巧,提高他们的数学素养。

3、考查知识综合运用能力
高考中的函数值域问题往往不是孤立存在的,而是与其他数学知识点相结合,如不等式、数列、解析几何等。求解这类问题需要考生具备综合运用数学知识的能力。因此,函数的值域在高考中具有重要的价值取向,它考查了考生对数学知识的综合运用能力。

4、体现数学的应用价值
函数的值域在实际生活中有着广泛的应用,如物理中的运动规律、经济中的成本效益分析、工程中的优化设计等。高考中通过考察函数的值域,可以引导考生关注数学在现实生活中的应用,体现数学的应用价值。

5、选拔和区分作用
在高考中,函数的值域问题通常作为压轴题或难题出现,具有较大的区分度。通过考察函数的值域,可以选拔出数学基础扎实、解题能力强的优秀考生,同时也能够区分出不同层次的考生,为高校选拔人才提供参考。

以下是相关练习题目(有需要请收藏)


